整車總體參數包括尺寸參數和質量參數兩大部分。
(一)外廓尺寸
1、外廓尺寸
外廓尺寸即指整車的長、寬、高,由所選的汽車底盤及工作裝置確定,但最大尺寸要滿足法規要求。例如在我國GB 1589-79“汽車外廓尺寸的界限”中,明確規定,車輛高不超過4M,車輛寬(不包括后視鏡)不超過2.5米,外開窗,后視鏡等突出部分距車身不超過250mm,車輛長,貨車不超過12m,半掛汽車列車不超過16.5m,全掛汽車列車不超過20m,但有的國家已放寬某些限制,如英國,德國已有4.2m高的廂式車(見圖1-5)。
對于超重型或其它一些特種車輛,屬于非公路運輸車輛,不在此規定的限制之內。
2、軸距
軸距影響到車輛總長,最小轉向直徑,縱向通過半徑或縱向通過角,軸荷公配和質量轉移系數,也影響到車輛的操縱穩定性和行駛平順性,同普通貨車相比,自卸汽車要求軸距變短,而輕泡貨物運輸車則要求軸距加長。
3、輪距
輪距影響到車輛總寬、橫向通過半徑,轉向時的通道寬度以及車輛的橫向穩定性,輪距要與車寬相適應,對汽車列車,要求掛車輪距和牽此車輪距一致。
4、前、后懸
汽車的前,后懸直接涉及到汽車的接近角和離去角,一般要求都在25度以上,至少不小于20度。前縣應滿足車輛接近角和軸荷分配的要求,同時還要滿足有關標 準的規定,即對于客車和全封閉廂式車輛。后懸不得超出軸距的0.55倍,但最長不得超出3.5米。
在實際改裝過程中,后懸變動比較多,例如對于自卸車,一般要將所選的普通汽車底盤的后懸變短,而對于有 些罐式車或廂式車,則要 將后懸加長。
(二)質量參數
1、裝載質量
對裝載質量,要考慮以下兩方面:
(1)用途和使用條件,如對于貨流大,運距長的運輸,則宜采用大噸位車輛,以便于提高生產率,降低運輸成本,而對于貨流多變,運距短的運輸,則宜采用中,小噸位車輛。
(2)合理分級,在裝載噸位級別上,要分布合理,以利于專用車產品的系列化,通用化和標準化。
對于同一底盤,在設計時應盡量提高裝載質量。
2、整備質量
所謂整備質量是指專用汽車帶有全部工作裝置及底盤所有的附屬設備,加滿油和水,但未載人和載貨時的整車質量。整備質量是一個重要設計指標,對運輸型專用汽車的動力性和經濟性有很大影響,據估計,載重汽車整備質量減少10%,可使經濟性提高8.5%。因此從設計原則上計,應減少整備質量,盡量采用輕質金屬材料和非金屬材料,減少原材料消耗,降低制造成本,當然整備質量在設計時要受到一些條件的制約,如車輛使用的公路條件,原材料質量,制造工藝水平等,這些方面都需要綜合考慮。
3、總質量
所謂總質量是指專用汽車裝備齊全,滿載(規定值)貨物及乘員時的質量。其計算式可表達成:
式中
乘質量(kg).按座位數計,65kg/人。
對于作業型專用汽車,如起重舉升車,高空作業車等,總質量主要由改裝后的汽車底盤質量和專用工作裝置質量確定,無需考慮裝載質量。
為了部公彌補專用汽車裝載質量的下降,可采用原車底盤允許的最大總質量,合理地利用原車底盤的超載能力,一般最大允許可超過原車型總質量的5%左右。例如采用EQ1090作改裝車,其底盤生產廠家確定的最大總質量為9290kg,而允許的最大總質量為9700kg,兩者相差的410kg,可作為最大裝載質量的補償。
4、軸載質量
最大軸載質量是專用汽車在公路行駛時使用受限制的一個技術參數,也是公路和橋梁設計載荷標準的依據,世界上一些國家從40年代起就開始對軸載質量作出規定,盡管幾經修改,各個國家和地區至今都沒有完全統一,因此在確定最大軸載質量時,一定要滿足當地車輛使用的法規要求。
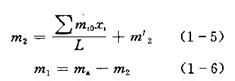
(1)軸載質量的計算專用汽車總質量
和專用工作裝置各部件質量及其質心位置確定后,就可計算軸載質量。圖1-6為某隨車起重運輸車的總布置圖,設m1、m2為整車前,后軸軸載質量,根據力矩平衡有:
式中
貨物,專用設備各部件及乘員質量(kg);
貨物,專用設備各部件及乘員質心到前軸中心的水平距離(mm),
軸距(mm);
原車底盤的后軸空載質量(kg)。
為便于分析各總成質量對軸載質量的影響,可列表計算,表1-1即為圖1-6的計算結果,表中
和
分別表示各總成質量在前、后軸上的分配。
表1-1某隨車起重運輸車軸載質量計算結果
(2)軸載質量的限值,軸載質量(軸荷)的限定值是確定車輛總質量確定的依據。
在歐洲,多數國家采用的單軸(雙胎)軸荷限值為11 000kg或11 500kg,而法國,西班牙等國采用13 000kg的限制,這就限定了兩軸車輛(前軸單胎,后軸雙胎)的最大允許總質量分別為17 000kg、18 000kg和19 000kg; 三軸車輛(前軸單胎,中,后軸雙胎)的最大允許總質量分別為26 000kg和32 000kg.
在我國JT701-88《公路工程技術標準》中對不同總質量汽車的軸載質量作了明確規定(表1-2)
最大軸載質量的選定除了要符合公路法規外,還要滿足輪胎的負荷能力。
5、軸載質量的公配原則
所謂軸載質量分配是指車輛某一軸的承載質量占整車總質量的百分比,應分空載和滿載兩種工況考虛。
改裝后的專用汽車軸載質量分配應盡量和原車型靠近。對于單車在滿載條件下,長頭車的前軸質量應達到25%,平頭車的前軸質量應達到30%;于于半掛汽車列車,在空載時,鞍式牽引車驅動橋軸載質量至少應達到汽車列車總質量的25%。
圖1-7即為總質量為38t廂式半掛車的軸載質量分配結果。
圖1-7 總質量38t廂式半掛車列車軸載質量分配
在確定軸載質量分配時,還應滿足以下原則:
(1)輪胎磨損均勻,例如對于4*2型單胎車輛,前后軸應各占二分之一,對于4*2型后雙胎車輛,前軸應占三分之一,而后軸應占三分之二。
(2)允許軸載質量的限制,如前所述,允許軸載質量有相應的限值及系列標準。
(3)輪胎負荷系數。所謂輪胎負荷系數是指輪胎所受到的靜負荷與輪胎額定負荷之比,一般取0.9-1。
(4)操縱穩定性。要求改裝后的專用汽車在各種工況下,應具有一事實上的不足轉向。
(5)質心位置,在橫向,應使左右車輪的承載質量分配均等,其最大偏差不得大于3%-4%。在縱向,要滿足前面提到的軸載質量分配條件,在高底位置,應使置質心盡可能低,從車輛行駛穩定性考慮,質心高度應滿足以下條件:
在GB7258-87機動車運行安全技術條件中,明確規定了普通汽車的側傾穩定角為
即根據(1-7)式而來。
湖北程力專用汽車有限公司銷售部
2011-07-04
- 分享: